Table of Contents MathBits.com Terms of Use TI-84+ WebSite MathBits.com

Numerical Checks
for Multiple Choice Questions

The graphing calculator allows for several methods of checking or comparing multiple choice answers.  Let's look at the checking of algebraic problems using a numerical format.

Process:

  • Choose your "favorite" positive one-digit (for ease) integer value and store the value in x
    (do not pick 0 or 1).   To store a 7:   7 sto x (the sto command is above the key)
  • Hit ENTER
  • Enter the algebraic expression from the problem on the "calculator" screen using x as your variable.
  • Hit ENTER to get your numerical value.
  • Enter each of the possible multiple choice answers on the home screen.
  • Hit ENTER to get their numerical values.
  • Find the answer that matches the answer from the problem.

 

1. The product of 2x3 and 6x5 is
     (1) 10x8
     
(2) 12x8
     
(3) 10x15
     (4) 12x15
The number 7 was chosen as the "favorite" number.  Remember "product" means to multiply.  The expression was evaluated and the answer was 69177612.  The multiple choice answers were then checked to see which yields the same answer. Choice #2 was the Answer.


 
2.  The sum of 3x2 + 4x - 2 and x2 - 5x + 3 is
      (1) 4x2 + x - 1
      (2) 4x2 - x + 1
      (3) 4x2 + x + 1
      (4) 4x2 - x  - 1
The number 7 was chosen.  The sum was entered.  ENTER was hit.  The multiple choice answers were entered until the matching answer was found. Choice #2 was the Answer.


 
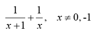
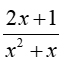
3.  Express as a single fraction:   
              

     (1)                       (2)  

     (3)                        (4) 

The number 7 was stored in x.  The expression was entered.  ENTER was hit.  The multiple choice answers were entered. Choice #2 was a match.

 

divider
Table of Contents | MathBits.com | Terms of Use

Table of Contents MathBits.com Terms of Use TI-84+ web site