Well, done!!
You have arrived at Box #6.
Solve the following 2 problems:
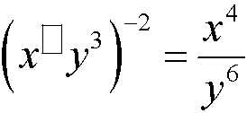
1. Find the correct missing value:

2. Find the correct missing value:

|
Read carefully!!
Find the sum of your two answers.
Multiply this sum by the cube of the reciprocal of (-1/15).
Place this answer in the address below (following the capital letter "A") and type the address into your browser to find the next hidden box.
http://mathbits.com/caching/A__________.html
|