MathBits.com presents ...

box9
calc diff logo
black divider

Yippee!! You made it!!
This is hidden Box #9!

Solve the following 5 problems:

1. By examining the graph f '(x) = xcos(x) + sin(x), determine the number of relative (local) maxima that exist on the interval 9pi for f (x).

 

 

 

2. Which choice is the equation of the tangent line to y = 4(x - 2)3
at x = 1?
1) y - 4 = 12(x - 1)
2) y + 4 = 12(x - 1)
3) y - 27 = 24(x - 1)
4) y - 27 = 24(x + 1)
5) y - 4 = -12(x - 1)

 



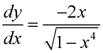
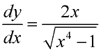
3. Which choice is dydx when   cdm84 ?
1) cdm84b
2) cdm84c
3) cdm84d
4) cdm84a
5) cdm84e

 

 

 

4. Which choice is dydx when   cdm84 ?

1) cdm84b
2) cdm84c
3) cdm84d
4) cdm84a
5) cdm84e

 

 

5. Find cd9dydx when y = sin(x) + sec(x).

 

 

Read carefully!!
Multiply the sum of the answers by the product of the answers, and square this amount. Place this result in the address below (following the letters "CD"), and type the address into your browser to find the next hidden box.

http://mathbits.com/caching/CD__________.html