|
Good job! You know your functions!
You have found hidden Box #2!
Solve the following 10 problems:
Directions: Questions #1 - 10 pertain to the graph of function f (x) shown below. Consider the domain of f (x) to be [-4,-1.5) U (-1.5, 1.5) U (1.5, ). Asymptotes: x = -1.5 and y = -1. Be sure to observe the scales carefully!

For each question, choose the number of the CHOICE
which contains the correct answer.
1. 
2. 
3. 
4. 
5. 
6. 
7. 
8.
9. 
10. 
|
CHOICES: These answer choices may be used more than once or not at all.
1. 1
2. 2
3. 3
4. 4
5. 0
6. -1
7. -2
8. -3
9. -4
10. does not exist |
|
|
Read carefully!!
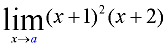
Let a be the sum of the ten answers. Evaluate: .
Place this result in the address below (following the letters "CD"), and type the address into your browser to find the next hidden box.
http://mathbits.com/caching/CD__________.html
|