|
Yippee! You found Box #6!
Level 2: Solve the following 4 problems:
The tale of six geese a laying:
|
The six geese are eating, laying eggs and calling their friends.
|
1. As the geese are sitting in a row on their feeder, the first goose eats m kernels of cracked corn. Each goose in the row then eats 1 less than twice the number of kernels eaten by the previous goose. Which of the numbered choices expresses the total number of kernels of cracked corn eaten by the six geese?
| 1) 12m - 5 |
2) 21m - 20 |
| 3) 63m - 57 |
4) 72m - 68 |
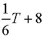
2. On a given day, three of the geese (Amy, Amanda, and Arlene) produce a total of T eggs. If Amy produces 6 less than half this total, and Arlene produces two less than one-third this total, which expression represents the number of eggs produced by Amanda?
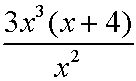
3. The six geese have called their friends to come to the pond for a party. The total number of their friends called can be expressed as .
a) Which of the numbered choices is equivalent to this expression?
| 1) x(3x + 1) |
2) 3x(x + 4) |
3)  |
4)  |
b) If the value of x in the expression is equal to the solution to the equation 7x - 2 = 4x + 7, how many friends did the geese call?
4. Goose eggs take approximately one month to incubate. The babies are called goslings, and are able to swim immediately upon birth. The goslings can swim for approximately feet underwater. How far, in feet, can the goslings swim underwater? |
|
|
This is the END of LEVEL 2:
Read carefully!!
Find the product of the two answers to question #3. Add this result to the sum of the answers to questions #1 and #4. Raise this result to the power which is the answer to questions #2.
1. To obtain your LEVEL 2 CERTIFICATE:
Place this answer in the address below (following the capital letters "HCERT"), and type the address into your browser to find the certificate.
http://mathbits.com/caching/holiday/HCERT__________.pdf
2. To move on to LEVEL 3 Box 7:
Place this answer in the address below (following the capital letter "H"), and type the address into your browser to find the next hidden box.
http://mathbits.com/caching/holiday/H__________.html
|