| 
				1. | 
              Change the linear equation 
				to "y=" form. | 
                 
				y = -x + 4 | 
            
            
              | 
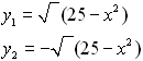
				2. | 
              Enter
                the equations as "y1=" and 
				"y2=". 
                (Be
                sure to use the negative key, not the subtraction key, for 
              entering negative values.) | 
              
				  
  | 
            
            
              | 
				3. | 
              Hit GRAPH 
				to see if and where the graphs intersect. 
(Using  ZOOM
                #6: ZStandard creates a 10 x 10 
              viewing window. 
You may need to adjust the WINDOW to see a clear picture of the intersection locations for the 
			  two graphs.)   | 
              
				  
  | 
            
            
              | 
				4. | 
              Under CALC (2nd 
				Trace) choose #5 intersect to find the points where the graphs intersect. | 
              
				  
  | 
            
            
              | 
				5. | 
               When prompted for the "First curve?", move the spider on, 
			  or near, a point of intersection.  Hit  Enter.				    | 
              
				  
  | 
            
            
              | 
				6. | 
               When prompted for the "Second curve?", just hit Enter.
   
                  
               | 
              
				  
  | 
            
            
              | 
				7. | 
               Ignore the prompt for "Guess?", and hit Enter. 
                   
                  
                   | 
              
				  
  | 
            
            
              | 
				8. | 
              Read the answers as to the 
				coordinates of the point of intersection.  These 
				coordinates appear at the bottom of the screen.				  Point of intersection 
			  (left side):  (0,4)  | 
              
				  
  | 
            
            
              | 
				9. | 
              If your graphs have a 
				second point of intersection, repeat this process to find the 
				second point.  Choose the #5 
				intersect choice and repeat the steps for finding the 
				intersection.				  Point of intersection (right side):  (3,1)  | 
              
				  
  |